Institute for Medical Virology and Epidemiology of Viral Diseases

610

Address: Elfriede-Aulhorn-Str. 6
72076 Tübingen


Phone number: +49 7071 29-80247


Fax number: +49 7071 29-5790


E-mail address: sekretariat.​iftner@​med.​uni-​tuebingen.​de


Research Iftner Lab

Basic Science        

Role of the E2-Brd4 interaction for the pathogenesis of papillomaviruses

Papillomaviruses have coevolved with their hosts and use cellular factors to manipulate the host cell, enable viral replication and induce cancer. The viral E2 protein is necessary for viral genome replication via its interaction with the viral E1 replicative helicase. In addition, E2 is a transcriptional regulator of viral and host cell genes and is involved in the post-mitotic segregation of viral genomes. Transcriptional regulation by E2 is mediated via a highly conserved interaction with the bromodomain containing protein 4 (Brd4). The C-terminal domain (CTD) of Brd4 binds to highly conserved residues in the N-terminal domain of E2. Recent studies by Wu et al., 2016 suggested that Brd4 contains an additional interaction domain consisting of the NPS and BID domains that binds to E2 in a phosphorylation-dependent manner. Using flow cytometry-based FRET assays and co-immunoprecipitation assays, we can confirm that E2 proteins interact with the Brd4 NPS/BID domain and, consistent with this, with Brd4S, an alternatively spliced isoform of Brd4 that lacks the CTD. 

  • What processes are regulated by the E2-Brd4S interaction during viral replication and virus-induced tumorigenesis?

Contact

Head

frontend.sr-only_#{element.icon}: Prof. Dr. Thomas Iftner


frontend.sr-only_#{element.icon}: +49 7071 29-80247  


frontend.sr-only_#{element.icon}: +49 7071 29-5790                                                                                


E-mail address: sekretariat.iftner@med.uni-tuebingen.de


Immunofluorescence microscopy to determine intracellular localization of Brd4 and E2
Flow cytometry-FRET analyses
Development of an Orf-Virus-based therapeutic vaccine for the treatment of papillomavirus-induced tumors

The usage of prophylactic HPV vaccines against different HPV types as primary prevention is well established. However, these vaccines have no therapeutic efficacy against HPV-induced lesions. To date, standard therapy for HPV-associated precancerous lesions or malignant tumors involves surgical interventions or radio-/chemotherapy, respectively. Thus, therapeutic cancer vaccines for the treatment of HPV-induced malignancies are of major interest. 

In collaboration with H.-J. Rziha and R. Amann (Dept. of Immunology, University of Tübingen) we have generated recombinant parapoxvirus Orf viruses (ORFV, strain D1701-V) expressing the early Cottontail Rabbit Papillomavirus (CRPV) genes E1, E2, LE6 and E7 respectively and tested their efficacy against CRPV-induced tumors in vivo. 

  • We aim to develop an Orf-Virus-based therapeutic anti-PV vaccine

Clinical Science

We are interested to improve the current screening programme for cervical cancer. For this we coordinated a large European trial with 6 participating Nations where 7 cross-sectional trials were combined to a large prospective follow up cohort of 25.000 women to analyse the performance of the inclusion of HR HPV testing in comparison to cytological screening (Pap smear) for cervical cancer screening using the clinical endpoint cervical intraepithelial lesion grade 3 or higher (CIN3+). The graph below demonstrates the superiority of HPV testing compared to cytology during a six year follow up period.

Next we wanted to explore the individual risk of single HR HPV types for the development of CIN3+ either for a prevalent or a persistent infection (defined as at least 24 months in between 2 screening rounds). These studies were all performed in collaboration with the group of Prof. Susanne Krueger-Kjaer from the Danish Cancer Society.

1. Prevalent infections
2. Persistent infections

Very recently we performed a large german prospective follow up cohort of 10.000 women where we compared the performance of DNA-based HPV test versus an RNA-based HPV test to evaluate the longitudinal negative predictive value and the cumulative risk of CIN3+ over a period of six years

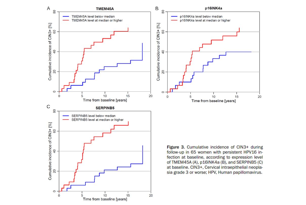
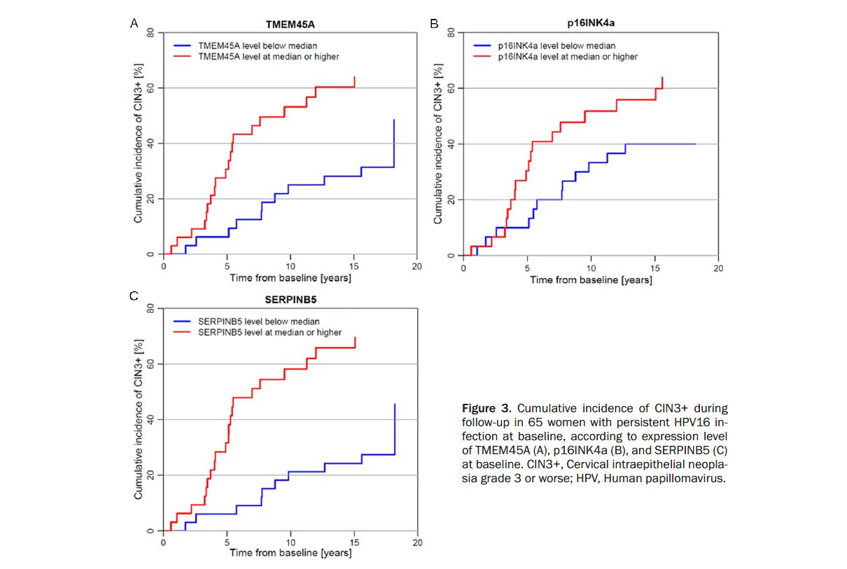
Identification of biomarkers for progressive disease

We also aim to identify prospective biomarkers for the development of CIN3+ based on a persistent infection with HPV16. We identified 3 good candidates – see below 

Anna Manawapat-Klopfer, Louise T Thomsen, Peter Martus, Christian Munk, Rainer Russ, Hans Gmuender, Kirsten Frederiksen, Juliane Haedicke-Jarboui, Frank Stubenrauch, Susanne K Kjaer, Thomas Iftner. Am J Cancer Res 2016;6(7):1524-1536


Improvement of the therapy of Cervical Cancer

We demonstrated a crucial role of the viral oncogene E6 in cisplatin resistance. The viral oncogene counteracted cisplatin-induced cytotoxicity and was shown to be increased in drug-resistant variants. Inhibition of Brd4 strongly suppressed E6 expression and enhanced chemoresponse when co-delivered with cisplatin and averted drug resistance in cisplatin-resistant tumor cells. Increasing cisplatin sensitivity by Brd4-inhibitiors might benefit treatment response in cervical cancer and might allow lower cisplatin dosages, thus reducing negative side effects. Thus Inhibition of Brd4 could represent a new therapeutic option by increasing treatment response in cervical cancer cells and might allow lower cisplatin dosages, thus reducing negative side effects.

Rataj O, Haedicke-Jarboui J, Stubenrauch F, Iftner T. Int J Cancer. 2019 May 1;144(9):2330-2338

Establishment of a novel prospective and observational national transplantation cohort (DZIF)

Prof. Dr. Thomas Iftner, PD Dr. Tina Ganzenmüller 

The University Hospital Tübingen is one out of four partner-sites involved in the establishment of the DZIF Transplant Cohort, a large, prospective and multicentric cohort with the aim to collect medical data and biological samples from transplant patients across Germany in the context of the German Center of Infection Research (DZIF). Data and multiple biosamples form the basis for future scientific studies to investigate the connections between infections and diverse complications after transplantation, such as organ dysfunction or susceptibility to infection. These studies will allow effectively improving and tailoring the prevention, diagnosis and treatment after transplantation. 

The Institute of Medical Virology coordinates the collection of biosamples and related data at the partner-site Tübingen and is responsible for the local biosample processing and storage. 

Certificates and Associations